UV-2600i Plus/UV-2700i Plus - 應用資訊
紫外/可見光分光光譜儀(UV-Vis)
LITERATURE 上的大部分文件都以 PDF 檔案格式提供,您將需要 Adobe Acrobat Reader 來開啟閱讀 。如您尚未安裝 Acrobat Reader,可以在 Adobe 的官方網站上免費下載。單擊左側的獲取 ADOBE READER 圖標以免費安裝 Adobe Acrobat Reader。
電力、電子與光學
化合物半導體的能隙(Band Gap)測定

使用 ISR-2600Plus 積分球量測兩種太陽能電池用化合物半導體(紅線:CuIn0.5Ga0.5Se2,藍線:CuInSe2)的漫反射光譜。結果顯示,兩者在吸收邊緣(反射率急遽下降的位置)存在差異,代表樣品之間的能隙*值不同(樣品由龍谷大學理工學部和田研究室提供) 。
能隙值以 Tauc 法計算,CuIn0.5Ga0.5Se2(紅線)為 1.27 eV,CuInSe2(藍線)為 0.99 eV。
*能隙(Band Gap)指價帶頂部(充滿電子)與導帶底部(不含電子)之間的能量差。
化學
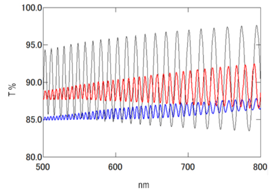
保鮮膜的厚度測定

當光穿過薄膜時,有時會出現波動的干涉波形。利用此干涉波形可計算薄膜厚度。圖中為某保鮮膜的透射率數據,顯示明顯的干涉波形。透過選購的薄膜厚度測量軟體計算,該膜厚度為 10.4 µm。
(注意)計算膜厚時需輸入樣品的折射率。
醫藥
寡核苷酸(Oligonucleotide)治療藥物的熱穩定性(Tm)分析

使用 TMSPC™-8i 與 1 mm 光程比色皿測量 9 至 60 µM 的寡核苷酸藥物樣品。由於 UV-2600i Plus/2700i Plus 具備寬動態範圍,能透過熔解曲線計算 Tm 值,進行核酸藥物的熱穩定性分析。
建築
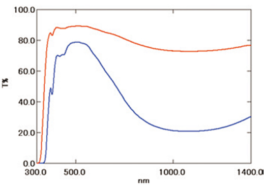
建築玻璃的透射率測定

利用 ISR-2600Plus 積分球測量兩種建築用玻璃。紅線樣品在 800 nm 以上的近紅外光區域透光率高;藍線樣品則在該區域的透光性較差。
化妝品
防曬衣物/化妝品之紫外線防護係數(UPF/SPF)測定

利用 ISR-2600Plus 積分球測量防曬衣物與傘具的紫外線防護性能。傘具(綠線)的透射光譜顯示幾乎沒有紫外線通過;衣物方面,黑色部分的防護效果優於白色部分。
紡織品
纖維素奈米纖維(CNF)的全透射光譜

使用 ISR-2600Plus 積分球測量纖維素奈米纖維的全透射光譜。根據原料不同,其光譜曲線、透明度及紫外區的光譜特性皆會有所差異。
生命科學
DNA 與蛋白質測量

紅線與藍線分別為雙股 DNA(dsDNA)與牛血清白蛋白(BSA)的吸收光譜。
樣品濃度分別為 dsDNA:45 ng/µL,BSA:2.2 mg/mL。
食品
維生素測量

顯示核黃素(維生素 B2)的吸收光譜。樣品濃度依吸光度由高至低分別為 0.08、0.04、0.02 與 0.01 mg/mL。